Forrageiras na Cobertura do Solo: Proteção e Produtividade

Redator parceiro Aegro.
Forrageiras na Cobertura do Solo: Proteção e Produtividade

O uso de forrageiras está crescendo em todo o país. Cada vez mais produtores estão percebendo os enormes benefícios que essas plantas trazem para todo o sistema de produção.

Além de protegerem o solo da erosão e fornecerem a palha essencial para o plantio direto, as forrageiras também ajudam a aumentar a produtividade da lavoura principal. E, como resultado, isso melhora a rentabilidade da sua fazenda.

Neste artigo, vamos detalhar como funciona a cobertura do solo com forrageiras, explicando as melhores formas e momentos para utilizá-las. Continue a leitura e confira!

O que são Forrageiras e Por Que Usá-las?

Forrageiras são plantas cultivadas com objetivos específicos, como proteger o solo, fornecer palha para o sistema de plantio direto e servir de alimento para animais. Elas podem ser tanto gramíneas (como as braquiárias) quanto leguminosas (como o feijão guandu).

Quando usadas para alimentação animal, podem ser manejadas para pastagem direta ou colhidas para produção de feno e silagem.

Para entender o verdadeiro impacto dessas culturas de cobertura no nosso sistema produtivo, primeiro precisamos analisar o cenário onde trabalhamos: o clima brasileiro.

O Desafio da Agricultura nos Climas do Brasil

A agricultura no nosso país se desenvolve, basicamente, em dois tipos de clima: tropical e subtropical.

  • Clima Subtropical: Presente na região Sul e em parte de São Paulo, caracteriza-se por verões quentes e invernos mais frios. As chuvas são mais bem distribuídas ao longo do ano, o que resulta em períodos de seca menos intensos.
  • Clima Tropical: Abrange a maior parte do Brasil, incluindo todo o Centro-Oeste, Norte, Nordeste e grande parte do Sudeste. Sua principal característica são verões quentes e muito chuvosos e invernos secos, com pouca variação de temperatura.

mapa climático do Brasil, destacando suas principais zonas climáticas. Utilizando uma paleta de cores varia Climas do Brasil (Fonte: Alvares et al, 2013)

O clima tropical apresenta dois grandes desafios para o uso agrícola do solo:

  1. Falta de água durante o inverno, o que inviabiliza muitas lavouras de sequeiro nesse período.
  2. Chuvas torrenciais e concentradas em uma única época do ano.

O primeiro desafio já contornamos, em parte, com o sucesso da segunda safra (safrinha).

O segundo ponto, no entanto, é mais complexo. As chuvas fortes têm um alto poder de causar erosão, que é o desgaste e o carregamento do solo pela água. A única maneira eficiente de proteger o solo contra a erosão é mantê-lo sempre coberto.

O Problema da Palha que “Derrete”

Aqui enfrentamos um terceiro desafio: manter o solo coberto em clima tropical é extremamente difícil.

Quem trabalha nas fronteiras agrícolas, seja no Cerrado ou na Amazônia, sabe bem como a palha parece “derreter” rapidamente sobre o solo.

Isso acontece porque, no início da estação das águas, a combinação de alta umidade e temperaturas elevadas cria o ambiente perfeito para os microrganismos do solo. Eles se multiplicam e, literalmente, “devoram” a palha em uma velocidade impressionante.

Em pouco tempo, o solo fica descoberto bem na época em que está sendo preparado para a nova safra, uma combinação que aumenta muito o risco de perdas.

Os Benefícios Diretos da Cobertura do Solo com Palhada

Uma planta precisa de três elementos básicos para se desenvolver: luz, água e nutrientes. A água e os nutrientes são retirados do solo, o que já mostra a importância de cuidar bem da nossa terra.

1. Economia de Água na Lavoura

A água presente no solo é perdida de duas formas: pela transpiração da planta (processo produtivo) e pela evaporação direta do solo para a atmosfera. A palha das forrageiras atua como uma barreira, diminuindo a água perdida por evaporação.

Em outras palavras, a cobertura garante que mais água fique disponível para a planta, em vez de ser perdida para o ambiente sem gerar nenhum benefício.

2. Proteção Contra Erosão e Perda de Nutrientes

Manter o solo coberto também diminui o impacto direto das gotas de chuva. Sem a palha, a força da chuva desagrega as partículas do solo, que são facilmente levadas pela enxurrada.

Essas partículas superficiais são as mais valiosas, pois contêm a maior parte da matéria orgânica e dos nutrientes. Quando a erosão leva essa camada embora, estamos perdendo o adubo que aplicamos. É, literalmente, jogar dinheiro fora.

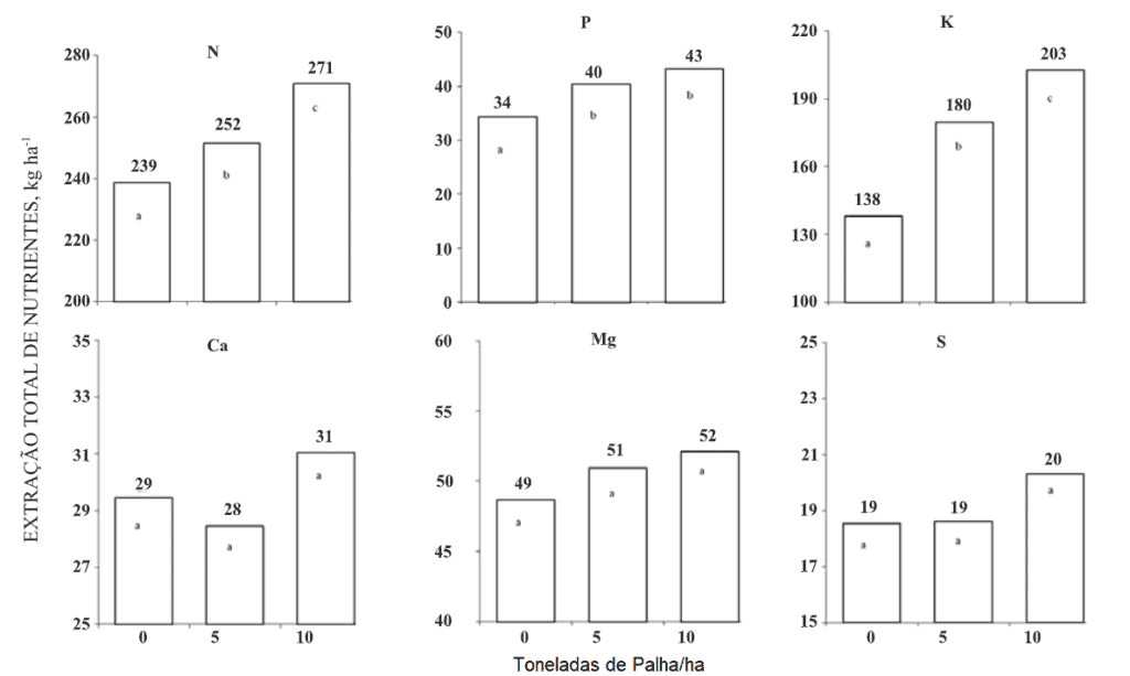
O gráfico abaixo, de um estudo da Embrapa, mostra isso na prática:

conjunto de seis gráficos de barras que ilustram os resultados de um estudo sobre a extração total de nutri Extração total de N, P, K, Ca, Mg e S, em kg ha-1, alteradas pela quantidade de palha na superfície (Fonte: Sá et al, 2010)

Note que, quanto maior a quantidade de palha sobre o solo, maior a quantidade de nutrientes que a planta consegue absorver. Isso garante que o adubo aplicado seja melhor aproveitado pela cultura, em vez de ser perdido com as chuvas.

3. Melhoria na Estrutura do Solo e Desenvolvimento das Raízes

A cobertura de palha também melhora as características físicas do solo. Ela cria um ambiente mais favorável ao desenvolvimento das raízes e ajuda a prevenir a compactação.

Veja na figura abaixo como a presença de palha no solo aumentou o comprimento das raízes das plantas de aveia. Raízes mais profundas e bem desenvolvidas significam melhor captação de água e extração de nutrientes.

Este gráfico de barras ilustra os resultados de um estudo sobre o impacto da quantidade de palha de aveia-preta na superfície Comprimento de raízes de milho em diferentes profundidades do solo alterado pela quantidade de palha de aveia-preta na superfície após seis anos de plantio direto (Fonte: Sá et al, 2010)

Como e Quando Usar Forrageiras na Prática

Para que o uso de forrageiras e culturas de cobertura seja economicamente viável, existem duas estratégias principais:

  1. Semeando as forrageiras na segunda safra (em clima tropical) ou na safra de inverno (em clima subtropical). Desta forma, você garante a colheita da cultura de maior renda no verão e, ao mesmo tempo, produz a palha que protegerá o solo para o início do próximo ciclo.
  2. Através do consórcio com culturas comerciais, como milho, sorgo, arroz e até mesmo a soja.

Consórcio: significa plantar duas ou mais culturas juntas na mesma área, permitindo que elas convivam durante parte de seus ciclos.

No caso da soja, o consórcio geralmente é feito por sobressemeadura. A forrageira é semeada de forma aérea ou terrestre no final do ciclo do grão, entre os estádios R5 e R6. Isso permite que a forrageira germine antes da colheita da soja, aproveitando as últimas chuvas e o calor para se estabelecer.

Para quem planta uma segunda safra de milho ou sorgo, as forrageiras podem ser semeadas em consórcio com essas culturas, uma prática cada vez mais comum e eficiente.

Como Funciona a Semeadura em Consórcio?

Normalmente, a semeadura das forrageiras em consórcio com milho ou sorgo é feita de duas maneiras:

  • Em linha: Usando a caixa de adubo da plantadeira para depositar as sementes da forrageira em uma profundidade maior.
  • A lanço: Distribuindo as sementes na superfície do solo, seja no momento do plantio da cultura principal ou durante a adubação de cobertura.

Muitos produtores se preocupam com a competição entre a forrageira e a cultura principal. No entanto, estudos mostram que o impacto na produtividade é mínimo.

uma tabela de dados que compara o rendimento de grãos de três diferentes cultivares de milho: AL Bandeirantes, Rendimento de grãos em cultivares de milho safrinha sob monocultivo e em consorciação com forrageiras (Fonte: adaptado de Jakelaitis et al, 2010)

Como podemos ver na tabela acima, a diferença na produtividade de milho solteiro ou em consórcio é muito pequena e, em muitos casos, inexistente. Isso torna o consórcio economicamente viável, pois os custos para implantar a forrageira são muito reduzidos.

Principais Espécies de Forrageiras

Existe uma grande diversidade de espécies forrageiras, e a escolha certa dependerá do sistema de produção da sua fazenda.

Braquiárias

As braquiárias são as forrageiras mais utilizadas no Brasil, principalmente pela excelente adaptação ao clima tropical e aos solos do Cerrado.

Temos um artigo completo sobre o tema: “Principais espécies de brachiaria e como fazer seu manejo.”

Aveia

Existem diversas cultivares de aveia forrageira, com diferentes ciclos. É uma excelente opção para o Sul e Sudeste, pois possui boa tolerância ao frio e a geadas, além de alta produção de massa verde e rusticidade. É ideal para produzir palha para o Sistema de Plantio Direto (SPD).

Feijão Guandu

O feijão guandu é uma leguminosa cada vez mais utilizada como forragem para animais no período seco (picada, pastejada ou na forma de silagem e feno). Ele pode ser consorciado com milho e com outras forrageiras, como a braquiária. A Embrapa, inclusive, desenvolveu o Sistema Santa Brígida, que consorcia milho, guandu e braquiária.

Para conhecer outras opções, confira estes artigos:

banner promocional dividido em duas seções. À esquerda, sobre um fundo verde escuro, há um texto claro e direto

Conclusão

As forrageiras são aliadas fundamentais para a agricultura tropical moderna. Elas viabilizam a implantação de um sistema de plantio direto eficiente, que realmente cumpre seu papel de proteger e melhorar o solo.

Neste artigo, vimos os principais benefícios dessas plantas, as espécies mais comuns e as melhores estratégias de semeadura.

O passo mais importante é escolher a espécie que melhor se adapta ao seu sistema de produção e começar a proteger o solo. Afinal, ele é a base do sucesso do agronegócio brasileiro


Glossário

  • Consórcio: Prática de cultivar duas ou mais espécies de plantas juntas, na mesma área e ao mesmo tempo. No artigo, refere-se ao plantio de milho ou sorgo junto com uma forrageira, como a braquiária, para otimizar o uso da terra e já formar a palhada para o ciclo seguinte.

  • Culturas de Cobertura: Plantas cultivadas com o objetivo principal de proteger e melhorar o solo, em vez de gerar uma colheita comercial. Elas ajudam a prevenir a erosão, suprimir ervas daninhas e aumentar a matéria orgânica do solo.

  • Erosão: Desgaste e transporte da camada superficial do solo pela ação da água da chuva ou do vento. Esse processo leva embora os nutrientes e a matéria orgânica, empobrecendo a terra e diminuindo a produtividade da lavoura.

  • Forrageiras: Plantas, como gramíneas (braquiárias) e leguminosas (feijão guandu), cultivadas para alimentação animal ou para produção de palha. São essenciais para a proteção do solo no sistema de plantio direto.

  • Palhada: Camada de material vegetal seco (restos de cultura, como palha e folhas) que é deixada sobre a superfície do solo. Atua como um “cobertor” que protege o solo da erosão, reduz a perda de água por evaporação e melhora a sua estrutura.

  • Plantio Direto: Sistema de cultivo em que a semeadura é feita diretamente sobre a palha da cultura anterior, sem o revolvimento do solo (aração e gradagem). A presença de palhada é fundamental para o sucesso dessa técnica.

  • Sobressemeadura: Técnica que consiste em semear uma nova cultura (geralmente a forrageira) sobre a lavoura principal que está no final de seu ciclo. Por exemplo, distribuir sementes de braquiária de avião sobre a soja antes da colheita.

  • SPD (Sistema de Plantio Direto): Sigla para Sistema de Plantio Direto. Refere-se ao conjunto de práticas que envolvem o não revolvimento do solo, a manutenção permanente da cobertura do solo com palhada e a rotação de culturas.

Como o Aegro ajuda a otimizar o uso de forrageiras

Implementar o uso de forrageiras é uma excelente estratégia, mas o grande desafio é garantir que ela seja economicamente viável e bem executada. Controlar os custos da semeadura, manejar as operações de consórcio e, principalmente, medir o retorno real na produtividade da safra seguinte pode ser complexo sem as ferramentas certas. Um software de gestão agrícola como o Aegro simplifica esse processo, permitindo registrar todos os custos associados à cultura de cobertura e analisar seu impacto financeiro. Além disso, o planejamento de atividades ajuda a organizar a semeadura em consórcio ou sobressemeadura, garantindo que tudo aconteça no momento ideal, sem comprometer a lavoura principal.

Quer transformar boas práticas agronômicas em lucro real?

Experimente o Aegro gratuitamente e veja como uma gestão integrada pode aumentar a rentabilidade da sua fazenda.

Perguntas Frequentes

A forrageira plantada em consórcio não vai competir com o milho por água e nutrientes, reduzindo minha produtividade?

Embora exista uma leve competição, estudos demonstram que o impacto na produtividade do milho é mínimo ou inexistente. Isso ocorre porque as culturas têm picos de demanda por recursos em momentos diferentes e sistemas radiculares que exploram distintas profundidades do solo. Os benefícios da palhada para a safra seguinte geralmente compensam qualquer pequena variação.

Qual é o melhor momento para semear a forrageira visando a produção de palha para o plantio direto?

Existem duas estratégias principais. Em climas tropicais, a semeadura pode ser feita na segunda safra (safrinha), muitas vezes em consórcio com milho ou sorgo. Outra técnica eficaz é a sobressemeadura, semeando a forrageira via aérea ou terrestre no final do ciclo da cultura principal, como a soja (estádios R5-R6), para que ela se estabeleça antes da colheita.

Por que a palha parece ‘derreter’ tão rápido em climas tropicais e como as forrageiras ajudam a resolver isso?

Em climas tropicais, a combinação de alta umidade e temperaturas elevadas acelera a atividade dos microrganismos do solo, que decompõem a matéria orgânica rapidamente. As forrageiras, especialmente as braquiárias, ajudam por produzirem um grande volume de biomassa com uma relação carbono/nitrogênio mais alta, o que torna sua palha mais resistente e duradoura na superfície do solo.

Qual a principal diferença entre usar braquiária e aveia como cultura de cobertura?

A principal diferença está na adaptação climática. As braquiárias são extremamente adaptadas a climas tropicais, com alta tolerância ao calor e ao déficit hídrico. Já a aveia é uma cultura de clima subtropical e temperado, sendo uma excelente opção para a safra de inverno no Sul do Brasil, pois tolera bem o frio e produz palha de qualidade.

Quanto de palha é considerado ideal para proteger o solo eficientemente?

A quantidade ideal varia, mas como regra geral, busca-se uma cobertura de 8 a 12 toneladas de matéria seca por hectare. Essa quantidade é suficiente para controlar a erosão, reduzir a evaporação da água, suprimir o crescimento de plantas daninhas e fornecer um bom aporte de matéria orgânica ao solo.

Usar forrageiras é economicamente viável ou representa apenas um custo extra na produção?

Embora exija um investimento inicial, o uso de forrageiras é altamente viável economicamente a médio e longo prazo. Os custos de implantação, especialmente em consórcio, são baixos e os benefícios incluem economia de água, melhor aproveitamento de fertilizantes (reduzindo perdas por erosão) e aumento da produtividade da lavoura principal, o que gera um retorno financeiro positivo.

O que significa o termo ‘sobressemeadura’ mencionado no artigo?

Sobressemeadura é a técnica de semear uma nova cultura (a forrageira) sobre uma lavoura já estabelecida e que está se aproximando do final do seu ciclo. No exemplo da soja, as sementes da forrageira são distribuídas sobre a lavoura antes da colheita, permitindo que a nova planta germine e comece a crescer aproveitando a umidade residual e a luz que começa a entrar.

Artigos Relevantes

  • Como fazer a implantação e manejo do consórcio milho-braquiária: Este artigo é a continuação prática ideal para o guia principal. Enquanto o artigo base apresenta o consórcio como uma estratégia, este candidato detalha o ‘como fazer’ de forma aprofundada, abordando desde o cálculo da taxa de semeadura até o manejo crucial de herbicidas e a dessecação, que são dúvidas técnicas essenciais não respondidas no texto principal.
  • Tudo o que você precisa saber sobre Plantio Direto: O artigo principal pressupõe que o leitor compreende o Sistema de Plantio Direto (SPD), mencionando-o repetidamente como o contexto para o uso de forrageiras. Este artigo fornece essa base conceitual indispensável, explicando os três pilares do SPD e o porquê da formação de palhada ser tão fundamental, solidificando o conhecimento do leitor.
  • Brachiaria ruziziensis: como essa espécie pode te ajudar na agricultura: O artigo principal cita as braquiárias como as forrageiras mais importantes e menciona especificamente a B. ruziziensis. Este artigo oferece um mergulho profundo nesta espécie-chave, detalhando suas exigências agronômicas, seu manejo em consórcio com milho (incluindo doses de herbicidas) e seu uso na pecuária, transformando uma recomendação geral em conhecimento aplicável.
  • Tudo sobre a plantação de aveia: tipos, manejo, colheita e forragem: Para complementar as opções de forrageiras, este artigo foca na aveia, a principal alternativa para climas subtropicais mencionada no texto base. Ele detalha os tipos, a época de plantio por região e as finalidades (grãos, forragem, cobertura), oferecendo um guia completo para produtores do Sul do Brasil que buscam implementar as práticas do artigo principal.
  • Como evitar o embuchamento em plantio direto de soja: Este artigo aborda uma consequência prática e um desafio direto de se seguir as recomendações do texto principal: o excesso de palha. Ele antecipa o problema do ’embuchamento’ das semeadoras, oferecendo soluções práticas de regulagem de maquinário e manejo. Isso agrega um valor imenso ao fornecer a solução para um problema que o leitor inevitavelmente enfrentará.